你的位置:首頁 > 產品中心 > 美國NIST標準品 > 臨床實驗標準物質 > SRM 4226D 鎳-63放射性標準品
產品詳細頁產品介紹
SRM 4226d 鎳 63 放射性標準品由經過標準化和認證數量的放射性鎳 63 在適當穩定和均質的基質中的溶液組成。它主要用于校準用于測量放射性和監測放射化學程序的儀器。
規格:
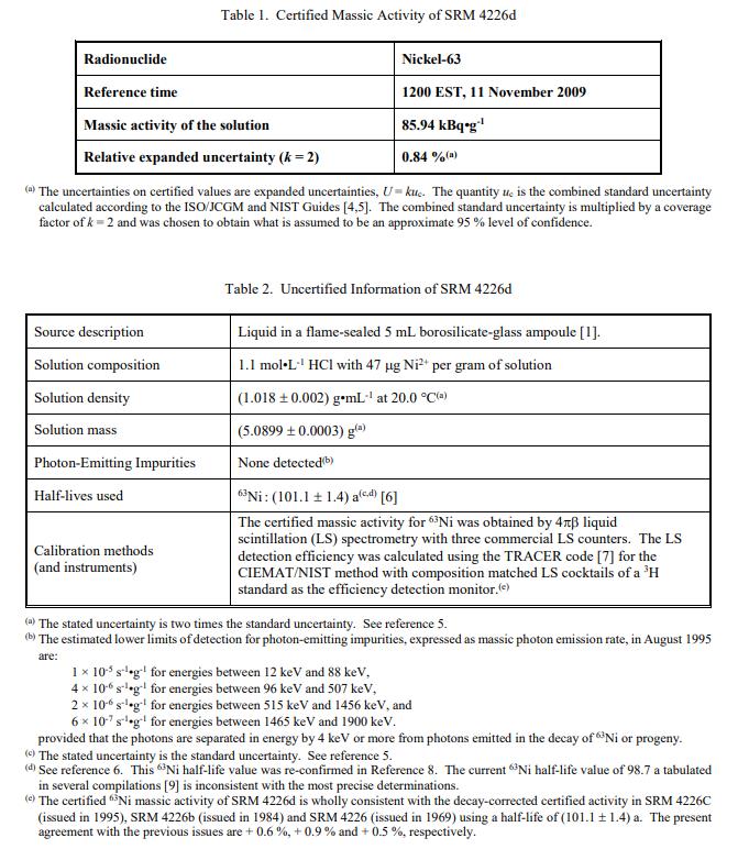
一個單元由包含在火焰密封的 5 mL 硼硅酸鹽玻璃安瓿 [1] 中的溶液組成,其成分在表 1 和表 2 中規定。
在 2009 年 11 月 11 日美國東部標準時間 1200 的參考時間,經認證的 Nickel-63 質量活度值為:(85.94 ± 0.72) kBq?g-1
NIST SRM 4226d 鎳 63 放射性標準品NIST 認證值在本證書上下文中使用,是 NIST 在其不確定性評估中具有最高置信度的值。它是從“主要參考測量程序"[3]直接或間接獲得的“測量結果"[2]。認證值可追溯到衍生的 SI 單位,貝克勒爾 (Bq)。
表 1 和表 2 中給出了該 SRM 的其他物理、化學和放射學特性以及標準化方法的詳細信息。認證數量的不確定性已擴大 (k = 2)。不確定性是根據 ISO/JCGM 和 NIST 指南 [4,5] 計算的。表 3 包含包含不確定性分析的組件規范。

東莞市百順生物科技有限公司專業提供SRM 4226D 鎳-63放射性標準品,歡迎咨詢定購。




陳經理(銷售)
